以太坊,英文名Ethereum,是一个开源的有智能合约功能的公共区块链平台。刚入币圈的朋友还会发现有另一个区块链项目叫做Ethereum Classic以太经典,于是便会陷入了“真假美猴王”的问题之中。本篇文章主要讲述以太经典如何产生的、以及以太坊与以太经典的区别。
1.硬分叉
在讲以太经典的由来之前,需要科普一个概念——硬分叉。我们知道,所谓区块链,就是一个个的区块数据,通过区块的哈希值(相当于区块的身份证号)串联起来,如此而形成一个链条般的账本数据。

那么,假设在区块增长到 2 号的时候,此时软件升级了,增加了之前版本中不能识别的一些数据结构,会发生什么?在传统的中心化软件体系中,似乎并没有什么问题,这是因为这些中心化的系统,数据存储都是集中的,版本管理也是集中的,如果是重大的升级,完全可以设置为若不更新到最新版就不能进行登录操作,从而确保用户使用的总是正确的版本。
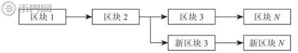
然而区块链先天是去中心的使用方式,一旦有新的软件版本发布后,是不是每个人都会去升级到新版本是很难控制的,这就可能导致如下图所示的问题:在 2 号区块生成的时候发布了新的版本,且新的版本增加了之前版本不能识别的数据结构,此时部分用户升级了新版,部分用户还没有升级,这些新旧版本的软件仍然在各自不停的挖矿、验证、打包区块,一段时间过后就会变成这样。

这个就叫分叉。
那什么是硬分叉呢?
当版本变动没达到某个程度,老版本的节点就还可以认识新版本的节点,这叫软分叉;而反之,当老版本的节点已经没办法认识分叉后新出现的节点,那么这就是一次硬分叉了。
硬分叉的结果就是走出两条链,各自分道扬镳,当然,最近大家热衷的“分糖果”也是由此而来的。
2.以太坊“The DAO”事件
在Ethereum之上可以构建各种应用程序,其中一个应用程序就是一个名为The DAO(Decentralized Autonomous Organization)的分布式自治组织。这是以太坊区块链上的第一个智能合约应用,也是当时最大的众筹项目,共募得1270万个以太币,当时价值约1.5亿美元。
2016年的6月17日,一位黑客发现了the DAO项目代码中的漏洞,从the DAO项目中盗走了360万枚以太币,当时价值达7千万美元。这个错误并非来自以太坊本身,而是建立在以太坊上的应用。但作为平台,以太坊要采取处理措施。
此时,核心开发人员有两个选择:
①允许链延续,因为区块链的本质是不可变的,不能更改
②反向交易以防止黑客从被盗资金中获利,并将资金返还给投资者
在经过开发人员的讨论之后,以太坊创始人V神宣布要回滚被盗的以太币,并且得到了大多数团队成员的支持,这条被回滚的链就是ETH。但以太坊团队中有少数成员,认为交易不可逆,是区块链的基本特性之一,Vitalik回滚交易这一做法虽然得到大多数人的同意,但已经违背了区块链的不可篡改精神而拒绝进行被盗以太坊的交易回滚。
于是以太坊分叉成了两条链:回滚交易的ETH和拒绝回滚交易的ETC。
3.ETH与ETC的区别
以太坊(ETH)和以太经典(ETC),尽管技术上来看是极为相似的两条链,形成竞争关系,但其实两者的发展路线已经完全不同。
以太坊基金会铁定要转向命名为Casper的PoS(Proof of Stake),而ETC社区则认为,按照POS的技术特性来看,以后可能会造成富人越富,穷人越穷,给用户带来了制度性门槛,这是ETC社区的核心价值观所不能接受的,ETC会继续坚持POW。
另外一边,ETH目前货币总量大概在9940万左右,并没有设置货币总量上限;而ETC早就宣布了新货币政策,在2017年12月减少区块奖励,也就是很多人所说的减产,ETC总量将维持在2.1亿,最多不会超过2.3亿。交易速度上,ETH平均25秒而ETC平均14秒。诸如此类的细节上的差别都是由于代码的个别差异所造成的,而两者最重大的差别其实在分叉之时就已经体现得淋漓尽致。那就是ETH在经过多数人同意的情况下就可以修改区块链记录和合约,而ETC则是永远遵循区块链的不可篡改精神,其区块链记录和合约不可以被修改和篡改。
虽然从二级市场价格上来比较,ETH当前价格是ETC的二十多倍。但其实区块链的未来,谁都说不准。究竟是永远使用PoW机制的ETC能成为纯正的去中心化数字货币,还是受V神与以太坊基金会这种强中心化组织影响的ETH能更受认可,时间将会证明一切。
699
收藏

















